防炎仕様のカラーレース
¥3,410〜(税込)

選べる形態安定
裾の広がりを抑えるプリーツ加工です。形態安定有り、無しを選択できます
窓周りを華やかにする法人向け・コントラクト向けのカラーレース
うっすらと3色の華やかなカラーがついたレースです。生地の織り感は、フラットでシンプルです。主張はしすぎず、でもほんのり色味がある、優しい風合いのレースです。
外からの見えにくさ:ミラーレース(昼は外から見えにくい)
機能:防汚・ウォシャブル・防炎
色味:ライトイエロー、ライトピンク、ライトグリーンの優しいカラーのレースです。
繊維に付着した汚れが洗濯で落ちやすい「防汚機能」が付いています。

■カラー展開
カラーはライトイエロー、ライトピンク、ライトグリーンの全3色展開です。









裏面はミラーレース特有の光沢感があります。生地裏面に光沢糸を用いる事により、外光が反射して、日中の室内を見えにくくする効果があります。室内からは外がぼんやりと認識できる透け感です。サラッとした風合いです。
カーテンの機能
【昼に外から中が見えにくいミラーレース】

【防汚】

【防炎】

オプション
■選べるヒダ数
こちらのレースは、標準仕様:1.5倍ヒダです。+3,600円で2倍ヒダに変更が可能です。
標準の1.5倍ヒダはシンプルですっきりした印象です。2倍ヒダは1.5倍ヒダに比べ使う生地も多くなるので、ボリュームがありゴージャスな見た目になります。
■選べる形態安定
こちらのレースは、標準仕様:形態安定無しです。ふわっとした仕上がりです。
無料で形態安定ありに変更可能です。形態安定は、裾の広がりを抑えるプリーツ加工を施しており、ヒダがはっきりと出る仕上がりです。耐洗濯性:3回程度
※形態安定加工が施せるサイズは、丈・幅300cmまでとなります。(両開きの幅は600cmまで) 丈・幅300cm(両開きの幅は600cm)を超えるサイズは形態安定加工無しでの製作となります。
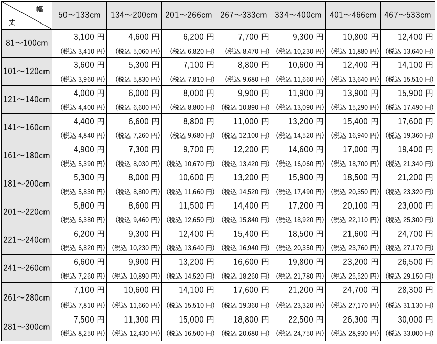
価格表
※横スライドできます→
【カラー 全3色】

ライトイエロー(4549) 
ライトピンク(4550) 
ライトグリーン(4551)
ご購入はこちら
付属品:アジャスターフック
■採寸方法はこちら
■縫製方法はこちら
※カートボタンが表示されない場合はこちらをクリック




